盐酸阿罗洛尔
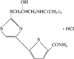
C15H21N3S3·HCl=371.46 CAS-68377-91-3 5-[2-[[(3-叔-丁基氨基)-2-羟基丙基]硫]-4-噻唑基]-2-噻吩甲酰胺盐酸盐。 5-[2-[[(3-tert-Butylamino)-2-hydroxypropyl]thio]-4-thiazolyl]-2-thiophenecarboxamide hydrochloride. 5-[2-[[3-(1,1-二甲基乙基)氨基]-2-羟基丙基]硫]-4-噻唑基]-2-噻吩甲酰胺盐酸盐。 5-[2-[[3-(1,1-Dimethylethyl)amino]-2-hydroxypropyl]thio]-4-thiazolyl]-2-thiophenecarboxamide hydrochloride. β-受体阻滞药。用于原发性高血压、心绞痛、心动过速性、心律失常等疾病。 Arotinolol Hydrochloride,S-596,Almarl. BAN.  |