网站首页  词典首页


请输入您要查询的字词:

 

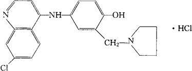
字词 盐酸阿莫吡喹
类别 中英文字词句释义及详细解析
释义 盐酸阿莫吡喹

C20H20ClN3O·HCl=390.31

CAS-10350-81-9

4-[(7-氯-4-喹啉基)氨基]-α-1-吡咯烷基邻甲酚盐酸盐。

4-[(7-Chloro-4-quinolinyl)amino]-α-1-pyrrolidinylo-cresol hydrochloride.

抗疟药。

盐酸吡咯喹

Amopiroquin Hydrochloride.

USAN.

随便看

 

离鸟网收录3541549条中英文词条,其功能与新华字典、现代汉语词典、牛津高阶英汉词典等各类中英文词典类似,基本涵盖了全部常用中英文字词句的读音、释义及用法,是语言学习和写作的有利工具。

 

Copyright © 2004-2024 vtrois.com All Rights Reserved
更新时间:2026/5/26 15:58:24