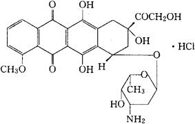
盐酸阿霉素[典]
C27H29NO11·HCl=579.99 CAS-25316-40-9 CAS-23214-92-8(doxorubicin) (8S,10S)-10-[(3-氨基-2,3,6-三去氧-α-L-来苏-吡喃己糖基)氧]-8-乙醇酰-7,8,9,10-四氢-6,8,11-三羟-1-甲氧-5,12-并四苯二酮盐酸盐。 (8S,10S)-10-[(3-Amino-2,3,6-trideoxy-α-L-lyxohexopyranosyl)oxy]-8-glycoloyl-7,8,9,10-tetrahydro-6,8,11-trihydroxy-1-methoxy-5,12-naphthacenedione hydrochloride. 抗肿瘤药。 14-羟正定霉素盐酸盐,亚得里亚霉素,14-羟柔红霉素盐酸盐,盐酸羟柔比星。 Doxorubicin Hydrochloride,Adriamycin. 盐酸阿霉素注射液。 USAN,USP,MI. 
|