盐酸阿齐帕明
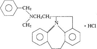
C26H26N2·HCl=402.97 CAS-57529-83-6 CAS-58503-82-5(azipramine) 6,7-二氢-N-甲基-N-(苯基甲基)-吲哚并[1,7-ab][1]苯并氮杂 -1-乙烷胺单盐酸盐。 6,7-Dihydro-N-methyl-N-(phenylmethyl)-indolo[1,7-ab][1]benzazepine-1-ethanamine,monohydrochioride. 1-[2-(苄基甲氨基)乙基]-6,7-二氢吲哚并[1,7-ab][1]苯并氮杂 单盐酸盐。 1-[2-(Benzylmethylamino)ethy1]-6,7-dihydroindolo[1,7-ab][1]benzazepine monohydrochloride. 抗抑郁药。 Azipramine Hydrochloride,Pierrel-TQ 86. INN(Azipramine),USAN.  |