盘磨机机械加压的挤压力计算
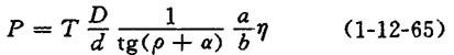
【说明】 见图1-12-10所示,盘磨机的机械加压装置是通过带螺母的手轮压缩杠杆—端的弹簧.,再通过杠杆来加压磨盘,使磨盘间产生足够的打浆压力,来达到磨浆的工艺要求。加压装置所产生的挤压力计算如下。 1-加压手轮 2-板卷弹簧 3-锁紧手轮 4-螺杆 5-加压杆(转轴) 6-加压杠杆 【公式】  式中 P——挤压力(N) D——手轮的直径(m) d——螺旋的直径(m) T——旋转手轮的力(N) ρ——螺杆与螺母间的摩擦角(度) α——螺旋的升角(度) a、b——杠杆力臂的长度(m) η——杠杆效率,视润滑情况而定 |