目标成果评定
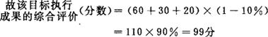
是对目标管理执行的结果进行评定。 目标成果的评定取决于以下三个因素:即目标达到的程度、目标的复杂程度和执行目标过程中的努力程度,而以目标达到的程度为重点。目标管理成果的综合评价公式为:  式中:三个评定因素的比重一般为5∶3∶2,即“达到程度”为5,“复杂困难程度”为3,“努力程度”为2。 但“达到程度”所占比重可随职级提高而加大; 三个评定因素中,每一个因素都按A、B、C三个等级进行区别; 修正系数是指在完成目标过程中,因外部条件的突然变化,而对目标成果的影响所应当给予调整的数值。其“+”号表示不利外部条件的出现,而目标执行者无法排除时,致使目标成果下降的情况,“-”号表示出现有利外部条件,而目标执行者并未努力,致使目标成果上升的情况。 例如:某一成本降低目标项目,其成果评定的三个因素及等级和修正系数如下表:  现有某职级的目标执行者,经初步评定其成果:“达到程度”是A级;“目标困难程度”是B级;“努力程度”是B级。  |