网站首页  词典首页


请输入您要查询的字词:

 

字词 目标规划数学模型
类别 中英文字词句释义及详细解析
释义 目标规划数学模型

指利用线性规划的基本原理,处理线性系统多目标决策的一种实用方法。

目标规划模型是以线性规划模型为基础模型,扩展形成的。

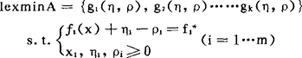
设系统有m个经营管理目标,其目标函数表达式为fi(x),对这m个目标,都有相应的目标理想期望值(各种目标要达到的指标)fi*,则可建立如下一般形式的目标规划模型:

模型中,Xj表示决策变量;ηi表示偏差变量;ηi为负偏差变量,表示第i个目标未达到理想目标值fi*数量;ρi为正偏差变量,表示第i个目标超过理想目标值fi*的数量;gr(η.ρ)r=1…k表示各级目标序列的达成函数。

目标规划建模步骤:

(1)建立基础模型(即用线性规划表示的各类目标函数及约束条件)。

(2)为每一目标确定理想目标达到值(一般可根据经营管理目标预先给定)。

(3)对每一目标及约束设定正、负偏差变量,写出目标约束。

(4)将各类目标按其重要程度划分优先等级,并建立各级目标的达成函数gr(η.ρ)。

目标达成函数由偏差变量构成,根据目标类型引入不同的偏差变量,并可根据不同管理要求予以加权。

(5)写出目标规划模型

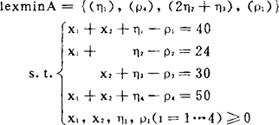
例,某厂装配甲、乙两种仪器,该厂拥有的装配能力不超过40小时/天,而生产一台仪器平均装配1小时,市场上两种仪器的最大销售量分别为24台/天和30台/天,销售利润分别为80元/台和40元/台。

现提出以下几项管理目标:

(1)装配线的能力必须完全利用。

(2)装配线可以加班,但加班时间不超过10小时/天。

(3)在市场销售允许范围内尽可能多地销售产品。

(4)加班时间压缩到最低限度。

根据上述条件,作出确定日生产安排的目标规划模型

设x1,x2分别为甲、乙产品的日产量;η1、ρ1为装配线生产能力不足和超过40小时/天的偏差,η2、ρ2为甲产品销售不足和超过24台/天的偏差;η3、ρ3为乙产品销售不足和超过30台/天的偏差。η4、ρ4为加班时数不足及超过10小时/天的偏差。并以上述目标顺序为目标优先秩序(即(1)为p级目标,(2)为p2级目标,(3)为p3级目标,(4)为p4级目标),可建立如下目标规划模型:

随便看

 

离鸟网收录3541549条中英文词条,其功能与新华字典、现代汉语词典、牛津高阶英汉词典等各类中英文词典类似,基本涵盖了全部常用中英文字词句的读音、释义及用法,是语言学习和写作的有利工具。

 

Copyright © 2004-2024 vtrois.com All Rights Reserved
更新时间:2026/5/25 19:21:24