网站首页  词典首页


请输入您要查询的字词:

 

字词 直接测量的物理量
类别 中英文字词句释义及详细解析
释义 直接测量的物理量

1.被测电阻两端电压U.

2.通过被测电阻的电流强度I.

实验步骤 1.画出实验电路图,并按电路图将实物连接成电路.接线时,开关S应断开.

2.闭合开关前,首先检查电路是否有开路、短路,电表的量程及正负接线柱是否正确再连接;其次,滑动变阻器接入电路的阻值应调到最大.

3.闭合开关,调节滑动变阻器,记录下3~5组电流及电压值.

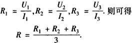
4.用多次测量求平均值的方法减小误差

随便看

 

离鸟网收录3541549条中英文词条,其功能与新华字典、现代汉语词典、牛津高阶英汉词典等各类中英文词典类似,基本涵盖了全部常用中英文字词句的读音、释义及用法,是语言学习和写作的有利工具。

 

Copyright © 2004-2024 vtrois.com All Rights Reserved
更新时间:2026/4/6 15:40:13