网站首页  词典首页


请输入您要查询的字词:

 

字词 直方图法
类别 中英文字词句释义及详细解析
释义 直方图法

根据抽样原理,对生产工序加工出的产品质量数据进行加工整理,绘制成图表,从中找出质量运动规律,判断和预测生产工序精度、产品质量好坏及其变化,并指导进行工序质量调整的一种常用方法。

直方图法对数据进行整理的步骤及其计算公式如下:

(1)收集数据。在一批产品中(同一母体)随机抽取一组数据,一般样本个数N>50。

(2)计算样本数据极差。根据样本数据中的最大值与最小值计算。

R=Lmax-Lmin

式中:R表示极差;Lmax表示样本数据最大值;Lmin表示样本数据最小值。

(3)分组。将样本数据根据要求分为若干组:

❶ 确定组数K:组数可根据样本数多少而定,一般可分7~20组。为计算方便,常常以分10组居多。当极差R<20时,可不分组,即以样本个数为组数。

❷ 计算组距:

式中:h表示组距;K表示组数;

❸ 确定组界r:组界即各组最大、最小值,以规定各组范围,可按下式递推汁算

式中:r1表示第一组上、下界;r1表示第i组上、下界;i表示组序。

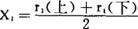
❹ 计算各组组中值X1。组中值即每组数据的中心值,按下式计算:

式中:X1表示第i组组中值;r1(上)表示第i组上界值;r1(下)表示第i组下界值。

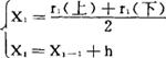
实际上,只要按上式计算出第一组组中值后,其余各组可类推算出:

(4)统计各组数据的频数,作频数表。频数即样本数据出现在某一组范围的个数,用fi表示。

(5)作直方图。在直角坐标系中,以横坐标表示组数(或组中值),纵坐标表示频数(或频率),这样得到的图称频数(或频率)直方图。根据直方图描出频数(或频率)分布曲线,即可大致知道产品质量分布状况。

(6)计算样本数据平均数和标准差。由直方图法计算样本平均数和标准差可依简捷算法用下面公式进行:

❶ 确定原点:频数最多的组的组中值为原点值(即众数值),用Xa表示;

❷ 计算各组简化中心值u1(即各组组中值到原点值的组距数):

式中:u1表示第i组的简化中心值。

❸ 计算各组频数与简化中心值的乘积f1u1

❹ 计算各组频数与简化中心值平方的乘积f1u12

❺ 计算样本平均数

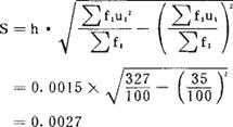
❻ 计算样本标准差S:

例:由同一车床加工的某机械零件中抽取样本100件,以加工尺寸为质量数据特征,将数据分为10组,计算出组界、组中值得到如下频数统计表:

根据上表资料,可作出如下直方图:

平均数

标准差

随便看

 

离鸟网收录3541549条中英文词条,其功能与新华字典、现代汉语词典、牛津高阶英汉词典等各类中英文词典类似,基本涵盖了全部常用中英文字词句的读音、释义及用法,是语言学习和写作的有利工具。

 

Copyright © 2004-2024 vtrois.com All Rights Reserved
更新时间:2026/5/27 23:15:10