网站首页  词典首页


请输入您要查询的字词:

 

字词 直线与抛物线
类别 中英文字词句释义及详细解析
释义 直线与抛物线

例1 已知抛物线y2=—8x,过点P0(—1,1)引一条弦,使此弦在P0点被平分,求弦所在的直线方程.

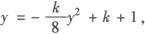
解 设所求弦的直线方程为

y—1=k(x+1),

即y=kx+k+1

把❶ 代入❷ 得

即ky2+8y—8k—8=0.

设所求弦的两端点为(x1,y1),(x2,y2)由韦达定理,得

又∵P0(—1,1)是弦的中点,

即k=—4.

∴此弦所在直线方程为:

4x+y+3=0,

例2 A、B是抛物线y2=2px(p>0)上的两点,且OA⊥OB(O为坐标原点),求证:

(1)A、B两点的横坐标之积,纵坐标之积分别都是定值;

(2)直线AB经过一个定点.

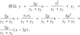
证明 (1)设A(x1,y1),B(x2,y2),则

因为OA⊥OB,所以x1x2+y1y2=0,

所以—4p2y1y2

所以y1y2=—4p2为定值,x1x2=—y1y2=4p2也为定值.

(2)因为2p(x2—x1),

所以直线AB过定点(2p,0).

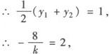
例3 抛物线C的顶点在原点,焦点在x轴正半轴上,若点A(—1,0)和点B(0,8)关于过圆点O的直线l的对称点都在C上,求直线l和抛物线C的方程.

策略 本题可用待定系数法,设出直线l和抛物线C的方程,再求出点A和B关于l的对称点A′和B′,根据A′、B′的坐标(含参数)满足抛物线方程得出关于两个参数的方程组,解出参数值即可求出l和C的方程.

解 由题意设直线l和抛物线C的方程分别为y=kx(k≠0)和y2=2px(p>0).

设A(—1,0)和B(0,8)关于l的对称点分别为A′(x1,y1),B′(x2,y2),

∵A′、B′在抛物线C上.

❶ ÷❷ 消去p,整理得k=k2—1,

代入❶ 得

所以,直线l的方程为,抛物线C的方程为

随便看

 

离鸟网收录3541549条中英文词条,其功能与新华字典、现代汉语词典、牛津高阶英汉词典等各类中英文词典类似,基本涵盖了全部常用中英文字词句的读音、释义及用法,是语言学习和写作的有利工具。

 

Copyright © 2004-2024 vtrois.com All Rights Reserved
更新时间:2026/4/7 20:35:58