网站首页  词典首页


请输入您要查询的字词:

 

字词 直线与椭圆
类别 中英文字词句释义及详细解析
释义 直线与椭圆

1.直线与椭圆的位置关系:通过直线方程与椭圆方程组成的方程组,对解的个数进行讨论,通常用消元法消去方程组中一个变量,得关于另一个变量的一元二次方程.

ⅰ△>0直线与椭圆相交有两个公共点.

ⅱ△=0直线与椭圆相切有且只有一个公共点.

ⅲ△<0直线与椭圆相离没有公共点.

2.弦长问题

通常将直线方程与椭圆方程联立,得关于x(或y)的一元二次方程,然后用韦达定理,再求弦长,也可直接求直线与椭圆的交点.

例1 若直线y=kx+1与焦点在x轴上的椭圆总有公共点,求m的取值范围.

解法一 直线y=kx+1过定点A(0,1)

∴A(0,1)必在椭圆内或椭圆上,

,且5>m,故1≤m<5.

解法二 由消去y得(m+5k2)x2+10kx+5(1—m)=0,∴△=100k2—20(m+5k2)(1—m)≥0时任意k∈R恒成立.

∵m>0,∴m≥1—5k2恒成立.

∴1—5k2的最大值为1.

∴m≥1,又m<5.

∴1≤m<5.

例2 已知斜率为1的直线l过椭圆的右焦点交椭圆于A、B两点,求弦AB之长.

解 设A、B坐标分别为A(x1,y1),B(x2,y2).

由椭圆方程知,a2=4,b2=1,c2=3,

∴F(,0),

∴直线l的方程为. ❶ 

将❶ 代入x2+4y2=4,化简整理得

❸ 中点弦问题

通常采用韦达定理或点差法求解,点差法步骤:设点(即设出弦的端点坐标)→代入(即代入曲线方程)→作差(即两式相减).

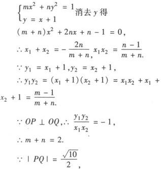
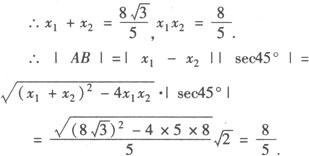
例3 已知椭圆的中心在坐标原点,焦点在坐标轴上,直线y=x+1与该椭圆相交于P和Q,且OP⊥OQ,,求椭圆的方程.

策略 椭圆焦点位置不能确定,可设其方程为mx2+ny2=1(m>0,n>0,m≠n),本题涉及弦长,要用弦长公式,注意应用根与系数的关系,还有OP⊥OQ,应将kOp·kOQ=—1坐标化解决问题.

解 设椭圆方程为mx2+ny2=1(m>0,n>0),P(x1,y1),Q(x2,y2),由

∴由弦长公式得

∴所求椭圆方程为3x2+y2=2或x2+3y2=2.

随便看

 

离鸟网收录3541549条中英文词条,其功能与新华字典、现代汉语词典、牛津高阶英汉词典等各类中英文词典类似,基本涵盖了全部常用中英文字词句的读音、释义及用法,是语言学习和写作的有利工具。

 

Copyright © 2004-2024 vtrois.com All Rights Reserved
更新时间:2026/4/7 2:39:53