网站首页  词典首页


请输入您要查询的字词:

 

字词 直角三角形中的边角关系
类别 中英文字词句释义及详细解析
释义 直角三角形中的边角关系

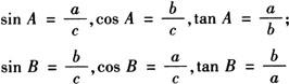
在Rt△ABC中,∠A,∠B,∠C的对边分别是a,b,c,则有

1.三边之间的关系:

a2+b2=c2(勾股定理).

2.两个锐角之间的关系:

∠A+∠B=90°(直角三角形两个锐角互余).

3.边角之间的关系:

(三角函数).

随便看

 

离鸟网收录3541549条中英文词条,其功能与新华字典、现代汉语词典、牛津高阶英汉词典等各类中英文词典类似,基本涵盖了全部常用中英文字词句的读音、释义及用法,是语言学习和写作的有利工具。

 

Copyright © 2004-2024 vtrois.com All Rights Reserved
更新时间:2026/5/25 19:59:47