网站首页  词典首页


请输入您要查询的字词:

 

字词 直角三角形边角关系的实际应用
类别 中英文字词句释义及详细解析
释义 直角三角形边角关系的实际应用

例1 如图,在小山的东侧A庄,有一热气球,由于受西风的影响,以每分钟35m的速度沿著水平方向成75°角的方向飞行,40分钟时到达C处,此时气球上的人发现气球与山顶P点及小山西侧的B庄在一条直线上,同时测得B庄的俯角为30°,又在A庄测得山顶P的仰角为45°,求A庄与B庄的距离及山高.(保留准确值)

解 (1)正确画出示意图.

(2)
❶ 在测点A处安置测倾器,测得此时山顶M的仰角∠MCE=α;

❷ 在测点A与小山之间的B处安置测倾器(A、B与N在同一条线上),测得此时山顶M的仰角∠MDE=β;

❸ 量出测倾器的高度AC=BD=h,以及测点A、B之间的距离AB=m,根据上述测量数据,即可求出小山的高度MN.

例13 如图:某船以每小时36海里的速度向正东方向航行,在A点测得某岛C在北偏东60°的方向上,航行半小时后到B点测得该岛在北偏东30°方向上,已知该岛周围16海里内有暗礁.(1)试说明B点是否在暗礁区域外;(2)若继续向东航行,有无触礁危险?请说明理由.

解 (1)∵AB=36×0.5=18,∠ADB=∠EAC=60°,∠DBC=30°,

∴∠ACB=30°.

又∵∠DAB=30°,

∴BC=AB=18>16.∴B点在暗礁区域外.

(2)过C作CH⊥AB,垂足为H.

在Rt△CAH中,∠CAH=30°.

,在Rt△CBH中,∠BCH=30°.

设BH=x.∴

∴x=9.

∴船继续向东航行有触礁危险.

例14 “曙光中学”有一块三角形形状的花圃ABC,现可直接测量到∠A=30°,AC=40m,BC=25m,请你求出这块花圃的面积.

解 分两种情况计算:

当三角形为钝角三角形时,

过点C作CD⊥AB于D,

在Rt△ADC中,∠A=30°,AC=40,

∴CD=20,

在Rt△CDB中,CD=20,CB=25,

(m2).

(2)当三角形为锐角三角形时,过点C作CD⊥AB交AB的延长线于D,

由(1)可得CD=20,,DB=15.

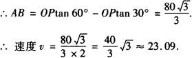
例15 如图,已知测速站P到公路L的距离PO为40m,一辆汽车在公路L上行驶,测得此车从点A行驶到点B所用的时间为2s,并测得∠APO=60°,∠BPO=30°,计算此车从A到B的平均速度为每秒多少米(结果保留四个有效数字),并判断此车是否超过了22m/s的限制速度.

解 在Rt△BPO中,BO=OPtan30°,在Rt△APO中,AO=OPtan60°.

∴汽车超过了22m/s的限制速度.

例16 如图所示,某货船以20海里/时的速度将一批重要物资由A处运往正西方向的B处,经16小时的航行到达,到达后必须立即卸货,此时,接到气象部门通知,一台风中心正以40海里/时的速度由A向北偏西60°方向移动,距台风中心200海里的圆形区域(包括边界)均会受到影响.

(1)问:B处是否会受到台风的影响?请说明理由;

(2)为避免受到台风的影响,该船应在多少小时内卸完货物?

(供选用数据:)

解 (1)过点B作BD⊥AC,垂足为D.

依题意得∠BAC=30°,在Rt△ABD中,BD=1/2AB=1/2×20×16=160<200.

∴B处会受到台风的影响.

(2)以点B为圆心,200海里为半径画圆交AC于E、F.(如图)

由勾股定理可求得DE=120,(海里)

∴该船应在3.8小时内御完货物.

随便看

 

离鸟网收录3541549条中英文词条,其功能与新华字典、现代汉语词典、牛津高阶英汉词典等各类中英文词典类似,基本涵盖了全部常用中英文字词句的读音、释义及用法,是语言学习和写作的有利工具。

 

Copyright © 2004-2024 vtrois.com All Rights Reserved
更新时间:2026/5/25 23:15:40