相似多边形的性质
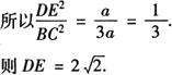
1.相似多边形的对应角相等,对应边成比例. 2.相似多边形周长的比等于相似比. 3.相似多边形面积的比等于相似比的平方. 例1 如图,在矩形ABCD中,E、F分别在BC、AD上,矩形ABCD相似于矩形ECDF,且S矩形ABCD=3S矩形ECDF,AB=2,求S矩形ABCD.  解 因矩形ABCD相似于矩形ECDF,且S矩形ABCD=3S矩形ECDF,  例2 如图,已知△ABC中,DE∥BC,S△ADE∶S四边形BCED=1∶2, ,试求DE的长.  解 因为DE∥BC, 所以∠ADE=∠B, 又∠A=∠A, 所以△ADE∽△ABC.  又S△ADE∶S四边形BCED=1∶2, 设S△ADE=a,则S四边形BCED=2a  [解析] 此题综合应用相似三角形的判定,相似三角形面积比等于相似比的平方这一性质,求得边长.需要注意的是,所给的是三角形与四边形的面积比,必须转化成两个相似三角形的面积比. |