网站首页  词典首页


请输入您要查询的字词:

 

字词 相似理论及其在模化设计中的应用
类别 中英文字词句释义及详细解析
释义 相似理论及其在模化设计中的应用

5.1.1 相似理论

相似方法是把个别现象的研究结果推广到所有相似现象的科学方法,相似理论是现象模拟和研究自然界及工程中相似现象的基础。利用相似理论,使运用简单的模型实验去研究复杂工程问题成为可能。在机械设计中,相似理论还可用于产品系列设计和成本估算等方面。

(1)相似

一组物理现象,其基本参数之间有固定成比例的数量关系,称为相似。相似又分同类相似和异类相似。

同类相似,即各物理现象可以用完全相同的数学方程来描述,其中所含的物理量都具有相同的性质(同名量),同名量之间在对应的空间点和时间上满足相似的比例数量关系。例如机械零件或部件的模型实验,一般属于同类相似。

异类相似,即各物理现象之间在形式上可以用完全相同的数学方程来描述,但其中所含的参量具有不同的性质。例如流体的压力场及导体的电场,当能用相同形式的数学方程表达时,则为异类相似或类似。

这里主要介绍同类相似的基本理论。其基本原则,也可用于异类相似中。

(2)相似比

在两个相似系统中,各个同一性质的同名参量,在两个系统相应的位置和时间上(对于非定常过程)的比值,称为相似比。对于不同的参量,相似比一般是不同的。

互相独立的基本物理量长度L、力F、时间t、温度T、电量q等形成的相似比,称为基本相似比,其中长度、力、时间为基本量纲。

解:采用方程分析法建立相似比方程,求解载荷相似比φp。

立柱拉伸强度关系式:

式中 d为立柱直径。可得相似比方程:

由题意已知φd=2(几何近似).φσ=1(材料相同),故可算出φo=4。

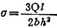
横梁弯曲强度关系式:

式中 l、b、h分别为横梁的跨度、宽度与高度。可得相似比方程

由于已知φσ=1,φlbh=2,故可得φo=4。

由此可知,该实验模型不论是对立柱或者横梁进行强度分析,其实验载荷均采用原载荷的

5.1.3 异类相似模型

表3.1-11列出两种异类相似模型的举例。采用这种模型,可以通过实验或计算分析的方法求得原型的性能规律。

表3.1-11 异类相似模型举例

随便看

 

离鸟网收录3541549条中英文词条,其功能与新华字典、现代汉语词典、牛津高阶英汉词典等各类中英文词典类似,基本涵盖了全部常用中英文字词句的读音、释义及用法,是语言学习和写作的有利工具。

 

Copyright © 2004-2024 vtrois.com All Rights Reserved
更新时间:2026/5/25 7:54:53