相关分析
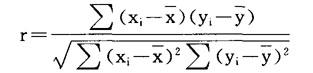
两个或两个以上随机变量之间相互关系密切程度的分析。 两个变量之间的相关关系称简单相关关系。以直线为准的相关分析为线性相关分析。例如,分析变量x、y之间线性相关关系,从样本的n次观测值(xi,yi;i=1,2,…,n),可以计算x和y之间的关系程度的度量,称为相关系数,用r表示:  式中#和 分别是x、y观测值的平均数。 r满足-1≤r≤+1,|r|的大小表明x、y线性关系密切的程度,r取正值为正相关,r取负值为负相关。 由r对总体相关系数ρ作检验,即检验H0∶ρ=0,H1∶ρ≠0时,可用t统计量,t=r#;检验H0∶ρ=ρ0≠0,H1∶ρ≠ρ0时,检验量可用近似正态分布的Z量,Z= ln( )。在曲线为准的相关分析中,计算x和y之间的关系程度的度量,称为相关指数。 两个以上变量间相互关系密切程度的分析为复相关(multiple correlation)分析。类似地可计算复相关系数R,y对x1,x2,…,xm的复相关系数Ry·1,2,…,m= 。常用F检验量(F=#· )作H0∶ρ=0的检验。在多变量情况下,变量间的相关关系错综复杂,为了确切表示两个变量间的相关关系,需要在消除其他变量影响的情况下,来计算其相关系数,即偏相关(或净相关,partial correlation)系数。偏相关系数的一般计算式是:  对以上任何一个偏相关系数,都可以用相应的t统计量作相应总体偏相关系数为零的假设检验。通过偏相关分析,可选择对因变量影响大的自变量,舍弃影响小的自变量,以便反映现象间的主要联系。 |