网站首页  词典首页


请输入您要查询的字词:

 

字词 相关指数
类别 中英文字词句释义及详细解析
释义 相关指数

表示两个变量之间非直线相关程度的一个系数。

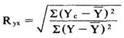
它是在拟合回归曲线的基础上计算的。若回归线为Y对X的回归曲线,就可以计算Y对X的相关指数,用Ryx表示,其公式为:

其中YL为对应X值时,因变量在曲线上的拟合值。Ryx的性质:(1)随回归曲线的形状不同而异;(2)取值在0与1之间,0yx<1;(3)数值愈大表示相关程度愈密切。

随便看

 

离鸟网收录3541549条中英文词条,其功能与新华字典、现代汉语词典、牛津高阶英汉词典等各类中英文词典类似,基本涵盖了全部常用中英文字词句的读音、释义及用法,是语言学习和写作的有利工具。

 

Copyright © 2004-2024 vtrois.com All Rights Reserved
更新时间:2026/5/28 15:09:33