相关系数
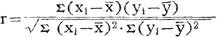
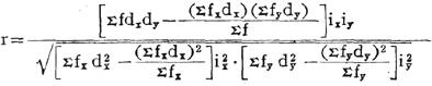
指两变量间线性相关程度和方向的系数。 在相关分析中,常计算相关系数来反映现象之间相关程度的大小和相关方向的正负。相关系数的计算公式为英国统计学家卡尔·皮尔生首创,故称“皮尔生系数”。这系数是依据积差计算的,又称“积矩相关系数”。 设有x、y两个相关变量,其N对资料为:(x1,y1),(x2,y2),……,(xn,yn),则计算直线相关系数的公式为:  式中:r代表相关系数, 为x变量的平均数, 为y变量的平均数。 如果根据分组资料计算相关系数,首先要把x、y两个相关变量的实际资料进行分组,编制相关表,而后根据下列公式计算:  式中:fx为x数列各变量的次数,fy为y数列各变量的次数,ix为x数列各组的组距,iy为y数列各组的组距,x0、y0为x、y数列的假定平均数 为x数列的离差,dy= 为y数列的离差。 相关系数的性质是: (1)相关系数r值所在范围为-1≤r≤+1。 (2)r为正值时,两变量间为正相关;r为负值时,两变量间为负相关。 (3)相关系数的绝对值|r|愈大,表示两变量间相关程度愈密切:r=+1,为完全正相关;r=-1,为完全负相关;r=0,两变量完全无关。 |