网站首页  词典首页


请输入您要查询的字词:

 

字词 相思藤
类别 中英文字词句释义及详细解析
释义 相思藤

【名称出处】:《广西药用植物图志

【概况】:

异名 山甘草(《广西中草药)),土甘草(《广西药用植物图志》)。

基源 为豆科相思子属植物相思子的藤及叶。

原植物 相思子Abrus precatorius L.

余项参见“相思子”条。。【生药】:

采集 5~10月采摘带叶幼藤,切成约2cm的小段,晒干。

药材产于广东、广西、海南。

鉴别 茎藤细瘦,被有稀疏的细刚毛。叶为羽状复叶,小叶长圆形,上面光滑,下面亦有稀疏的细刚毛,易脱落。气微,味甘。

以叶多、色青绿者为佳。

贮藏 置通风干燥处,防蛀,防霉。

。【化学】:

藤、叶含相思子碱(Abrine)、红豆碱(Precatorine)、海巴沸林(Hypaphorine)、胡卢巴碱(Trigonelline)、胆碱(Choline)[1]

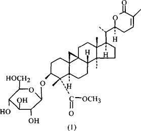
叶尚含多种甜味成分,甘草甜素(Glycyrrhizin)[2]、相思子索甙(Abrusoside)A(1)、B、C、D[3,4]。此外,叶中含黄酮甙类化合物:5,7,4′-三羟基黄烷甙(5,7,4′-Trihydroxyflavane glycosside)(可能为Vitexin)、7,4′-二羟基黄烷醇二糖甙(7,4′-Dihydroxyflavonol diglycoside)和黄杉素-3-葡萄糖甙(Taxifolin3-glucoside)[5]

参考文献 [1] 中草药学.中册.江苏人民出版社,1976:450 [2] CA 1982;96:31660b [3] CA 1990;112:99012w [4] CA 1990;112:73785a [5] CA 1988;108:164768f。【药性】:

性味 甘,平。

❶ 《广西药用植物图志》:“甘,凉。”
❷ 《全国中草药汇编》:“甘,平。”

功效 清热解毒,利尿,生津。

主治 咽喉肿痛,支气管炎,肝炎,肾炎,感冒发热,小儿疳积,疟疾,毒蛇咬伤。 ❶ 《生草药手册》:“生津止渴,润肺,清热。凉茶料多用。


❷ 《南宁市药物志》:“叶,治乳疮。”
❸ 《中国药用植物图鉴》:“叶,利尿,治支气管炎。”
❹ 《广西中草药》:“清热利尿。治咽喉肿痛,肝炎,支气管炎。”
❺ 《新华本草纲要》:“治肾炎,感冒发热,小儿疳积,疟疾,毒蛇咬伤。”

用法用量 内服:煎汤,9~15g。

外用:煎水洗或捣敷。

。【临床应用】:

单方应用 ❶ 《中药大辞典》:“治喉痛,肝炎,支气管炎:相思藤9~15g。水煎服。”
❷ 《南宁市药物志》:“治乳疮:相思子叶、藤,煎水洗或捣敷患处。”

随便看

 

离鸟网收录3541549条中英文词条,其功能与新华字典、现代汉语词典、牛津高阶英汉词典等各类中英文词典类似,基本涵盖了全部常用中英文字词句的读音、释义及用法,是语言学习和写作的有利工具。

 

Copyright © 2004-2024 vtrois.com All Rights Reserved
更新时间:2026/4/7 0:30:05