相机抉择的税收政策
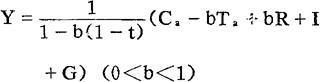
凯恩斯以后的现代资产阶级经济学家提出的税收政策理论。 他们根据Y=C+I+G的国民收入流量的均衡公式导出了如下综合财政模型:  其中:Y为国民收入总额,I为民间投资总额,G为政府购买(投资)总额,Ta为自发税收收入(即不受收入影响的税收收入),t为税率,b为消费倾向,Ca为自发的消费(即不受收入影响的消费数额),R为转移支付。从公式中可以看到,国民收入要受到税率t、政府购买G、转移支付R等的影响。首先,有了税率t使投资乘数从 降到 ,起到了平抑经济波动的内在稳定作用;其次,政府可以调整税率使投资乘数提高或进一步降低;再次,由于G的系数比R的系数大,所以增加G支出会增加更多的Y,这可更强烈地刺激经济,而增加R支出会更有力地抑制经济膨胀,等等。总之,相机抉择税收政策就是根据上述公式,政府通过对t、Ta、R、G等因素的调整改变,发挥对经济和社会的影响作用。 相机抉择的税收政策是凯恩斯财政税收政策的进一步发展和补充。 |