网站首页  词典首页


请输入您要查询的字词:

 

字词 真空伏辊
类别 中英文字词句释义及详细解析
释义 真空伏辊

以普遍使用的真空箱式筒体材料为铸造锡青铜的真空伏辊作计算依据。

1.真空伏辊承受的实际总载荷Q

(1)无吸移装置(图11-9-6)

有真空吸移装置时,由于铜网在伏辊上的包角θ<90°(通常在45°~60°之间),比无真空吸移装置的包角小得多(通常在160°~175°之间),故其合力Z的方向并不接近水平。但仍可忽视诸力N、Pk、P0等与垂直方向的偏差,将它们视为与伏辊垂直中心线重合。

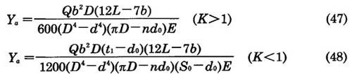
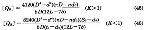
式中 S0——钻孔中心对角线孔距,cm

d0——不计扩孔的孔径,cm

t1——沿径向的孔距,cm

n——径向断面孔数

3.按辊筒刚度验算真空伏辊能承受的许用总载荷[QB

推导此二式时,假设真空伏辊的(一般此辊的ξ。

4.求真空伏辊工作部分的实际最大挠度Ya(cm)

真空伏辊和真空压榨辊的轴头结构多样而复杂,按轴颈应力求[QC]时不能用统一的算式。

随便看

 

离鸟网收录3541549条中英文词条,其功能与新华字典、现代汉语词典、牛津高阶英汉词典等各类中英文词典类似,基本涵盖了全部常用中英文字词句的读音、释义及用法,是语言学习和写作的有利工具。

 

Copyright © 2004-2024 vtrois.com All Rights Reserved
更新时间:2026/4/6 19:24:51