网站首页  词典首页


请输入您要查询的字词:

 

字词 真空伏辊平衡计算
类别 中英文字词句释义及详细解析
释义 真空伏辊平衡计算

【已知】 Q9=1000.6328

V9=5003.1640

C9=20%

C12=12%

伏辊带出纤维率α4=0.2%

铜网冲边宽度b=2×25mm

抄宽Bm=3190mm,

横向收缩率ε=3.5%

洗伏辊水W3=9639,

伏辊水封水W4=3936.9

伏辊处损纸率α5=1.0%

【计算】 湿纸幅宽Bn===3306湿纸边占整个湿纸幅宽的比率(进入伏损池)

x=×100%=1.4899%进入伏损池的湿损纸量:

Q11=Hα5=1009.2241×1%=10.0922

冲边量Q11=x·Q12

Q11=Q11+Q11=10.0922+xQ12

自水带走纤维进入真空室,后进入水封池,

Q104Q12,对伏辊进行平衡,则:

Q12=Q10+Q11+Q9

即Q12=α4Q12+xQ12+Q11′+Q9==1028.0988

Q11=10.0922+xQ12=25.4098

Q10=Q12-Q9-Q11=2.0562

V12==8567.4900

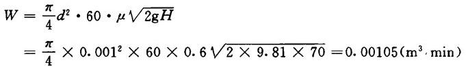
湿纸切边及引纸水针使用的是687kPa以上的高压水,水针喷孔孔径为1mm,流量系数μ取0.6,则每支水针喷水量:

设纸机日产50t,每日工作22.5h,则生产吨纸所需时间为:

生产每吨纸的湿纸切边及引纸水针(共3根水针)用水量为:

水针切下的湿纸边用冲边水冲入伏损池内;而伏辊内需喷水作水封并起润滑作用.随同白水进入真空室;洗伏辊水流入伏辊池。

随便看

 

离鸟网收录3541549条中英文词条,其功能与新华字典、现代汉语词典、牛津高阶英汉词典等各类中英文词典类似,基本涵盖了全部常用中英文字词句的读音、释义及用法,是语言学习和写作的有利工具。

 

Copyright © 2004-2024 vtrois.com All Rights Reserved
更新时间:2026/4/8 1:55:05