矢量方程图解法
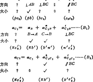
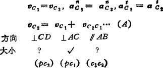
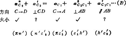
矢量方程图解法:按照相对运动原理列出的速度、、加速度矢量方程,用一定比例尺画出位置图、速度图、加速度图,从图中测量出相应的线段,求出速度、加速度。  作法: ❶ 选取μ1,画出位置图a)。 ❷ vB=1ABω1,方向⊥AB,指向同ω1一致。 ❸ 取μ。; ;由(A)式画出速度图b)。  例5.3-14 四杆机构。其矢量方程:    作法: ❶ 选取μ1,画出位置图a)。 ❷ vC1=ACμ1ω1,方向上AC,指向同ω1一致。 ❸ 取 ; :由(A)式画出速度图b)。  说明:将构件1扩大至包含构件2上的C点是由于:ac1和ac1,已知,vc2和aC2的方向线已知。 |