网站首页  词典首页


请输入您要查询的字词:

 

字词 矩阵与行列式
类别 中英文字词句释义及详细解析
释义 矩阵与行列式

6.1.1 矩阵及其秩

数域F上的m×n个数aij(i=1,2,…,m;j=1,2,…,n)按确定的位置排成的矩形阵列,称为m×n矩阵,记作

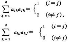
由矩阵任一行的元素构成n维矢量,称为行矢量,记为αi=(ai1,a12,…,a1n)(i=1,2,…,m);由矩阵任一列的元素构成m维矢量,称为列矢量,记为

若矩阵A的n个列矢量中r个线性无关(r≤n),而所有个数大于r的列矢量组都线性相关,则称数r为矩阵A的列秩。类似可定义矩阵A的行秩。

❶ 此曲面也是直纹面。

矩阵A的列秩与行秩一定相等,统称矩阵的秩,记为rankA=r。

6.1.2 行列式

是由排成n阶方阵形式的n2个数a1(i,j=1,2,…,n)确定的一个数其值为n1项之和

D=Σ(-1)ka1k1a2k2…ankn

式中k1,k2,…kn是将序列1,2,…,n的元素次序交换k次所得到的一个序列;Σ表示对k1,k2…,kn取遍1,2,…n的一切排列求和。

从n阶行列式D中任取k行和k列(1≤k≤n-1),由这k行与k列交点处的元素构成的k阶行列式称为行列式D的k阶子式。

如果所选取的k行k列分别是第i1,i2,…ik行与第i1,i2,…,ik列,则所得的k阶子式称为主子式。

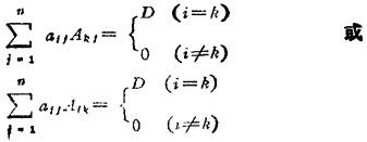
从行列式D中划去k行与k列后得到的n-k阶行列式称为子式M的余子式M。通常用Mif表示划去a11所在行和列后余下的n-1阶子式,用Aif=(-1)1+1Mif表示a1f的代数余子式。且有

6.1.3 行列式的性质

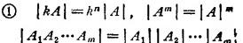
|A1A2…Am|=|A1||A2|…|Am|

式中 A1,A2,··Am全为n阶方阵。

❷ 行与列互换后行列式的值不变,即

|A′|=|A|

❸ 互换行列式的任意两行(或列),行列式变号。

❹ 用数k乘行列式的一行(或列),等于将行列式乘以数k。

❺ 将行列式的一行(或列)乘以数k后加到另一行(或列)的相应元素上,行列式的值下变。

❻ 若行列式中有一行(或列)全为零,则行列式等于零。

❼ 若行列式中某一行(或列)的所有元素都可表示为两项之和,则该行列式可用两个同阶的行列式之和来表达。例如:

6.1.4 矩阵的初等变换

矩阵的初等变换是指:

❶ 交换矩阵的两行(列);

❷ 用一个不为零的数乘某一行(列);

❸ 用一个数乘某一行(列)后加到另一行(列)的相应元素上。

初等变换不改变矩阵的秩。

6.1.5 特殊矩阵

(1)对角矩阵

除主对角线以外的元素都是零(aif=0,i≠j)的方阵,记作:

当ai=1(i=1,2,…n)的数量矩阵称为单位矩阵。

(2)对称矩阵

满足条件aiffi(i,j=1,2,…n)的方阵A=(aif)称为对称矩阵。对称矩阵具有性质:若A、B都是对称矩阵,则A=A,且A-1,Am(m为正整数),A+B仍是对称矩阵。

(3)实对称矩阵

实对称矩阵按其特征值可分为正定矩阵、半正定矩阵、负定矩阵、半负定矩阵和不定矩阵,它们的定义和充要条件如表1.1-9所列。

表1.1-9 实对称矩阵

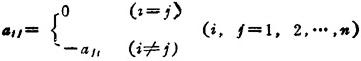
(4)反对称矩阵

满足条件的方阵A=(aif)称反对称矩阵。反对称矩阵具有如下性质:

❶ 若A,B都是反对称矩阵,则A-1,A′=-A,A+B仍是反对称矩阵,

Am为{对称矩阵 (m为偶数)

反对称矩阵 (m为奇数)

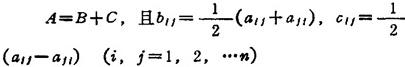
❷ 任意方阵A都可分解为一个对称矩阵B=(b11)与一个反对称矩阵C=(Cif)之和,即

(5)正交矩阵

满足条件A′=A-1的方阵称为正交矩阵。正交矩阵具有如下性质:

若A=(a11)和B都是正交矩阵,则

❶ A-1,AB仍是正交矩阵。

❷ |A|=±1。

❸ 

(6)三角矩阵

满足条件ai1=0(i>j)的方阵A=(aif)称为上三角矩阵,一般形式为:

满足条件b1if=0(i<j)的方阵B=(bif)称为下三角矩阵,一般形式为:

三角矩阵具有如下性质:

❶ 任何方阵C都可表示成一个上三角矩阵A

和一个下三角矩阵B的乘积,即C=AB。

❷ 上(下)三角矩阵的和、差、积和数乘仍是上(下)三角矩阵。

6.1.6 矩阵的相似变换

(1)相似变换

如果有一非奇异矩阵X使得B=X-1AX,那么称矩阵A与矩阵B相似,也称A经相似变换化为B,记作A~B。它具下列性质:

❶  A~A,A′~A;

❷  若A~B,则B~A;

❸  若A~C,B~C,则A~B2

❹  X-1AmX=(X-1AX)m

❺  X-1(A1+A2+…+Am)X=X-1A1X+X-1A2X+…+X-1AmX;

❻  X-1(A1A2…Am)X=X-1A1X·X-1A2X…X-1AmX:

❼  若f(A)为矩阵A的多项式,则X-1f(A)X=f(X-1AX);

❽  若A~B,则A与B的秩,A与B的行列式,A与B的迹,A与B的特征多项式和特征值均相同。

(2)正交变换

若Q为正交矩阵(即Q-1=Q′),则称Q′AQ为矩阵A的正交变换。其性质与相似变换类似,且对称矩阵A经正交变换后仍是对称矩阵。

6.1.7 逆矩阵

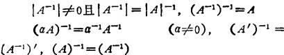
若方矩A、B满足等式AB=BA=I(I为单位矩阵),则称A为B的逆矩阵,或称B为A的逆矩阵,记作:A=B-1或B=A-1。此时A、B都称为可逆矩阵。可逆矩阵具有如下性质:

❶ 若A,B为可逆矩阵,则AB仍为可逆矩阵,且(AB)-1=B-1A-1。一般地,若A1,A2,…Am均为可逆矩阵,则

(A1A2…Am)-1=Am-1…A2-1A1-1

❷ 矩阵A可逆的充要条件为|A|≠0,或矩阵A的特征值全不为零。

❸ 若矩阵A可逆,则

6.1.8 矩阵的特征值与特征矢量

(1)特征值与特征矢量

对于n阶方阵A和n维非零列矢量a=(a1,a2,…an)r,如果有一个数λ使得Aa=λα,则称λ为矩阵A的特征值,a为矩阵A的特征值λ所对应的特征矢量。称A所有特征值中绝对值最大的一个为A的第一特征值。

(2)特征矩阵、特征多项式,特征方程

n阶方阵A的特征矩阵定义为:

式中I为n阶单位矩阵。行列式|A-λI|称为矩阵A的特征多项式,记作φ(λ)=|A-λI|,方程φ(λ)=0称为矩阵A的特征方程。

随便看

 

离鸟网收录3541549条中英文词条,其功能与新华字典、现代汉语词典、牛津高阶英汉词典等各类中英文词典类似,基本涵盖了全部常用中英文字词句的读音、释义及用法,是语言学习和写作的有利工具。

 

Copyright © 2004-2024 vtrois.com All Rights Reserved
更新时间:2026/5/25 21:44:26