网站首页  词典首页


请输入您要查询的字词:

 

字词 矩阵的秩
类别 中英文字词句释义及详细解析
释义 矩阵的秩

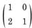
从一个矩阵中,任意去掉若干行和若干列(包括不去行或不去列的情况),使留下的行和列构成方阵,这样得到的一切不同阶数方阵所对应的行列式中,那些不等于零的行列式中的最大阶数称为原矩阵的秩。例如矩阵

的二阶方阵所对应的行列式而且该矩阵中所有三阶方阵所对应的行列式都等于零,故它的秩是2
随便看

 

离鸟网收录3541549条中英文词条,其功能与新华字典、现代汉语词典、牛津高阶英汉词典等各类中英文词典类似,基本涵盖了全部常用中英文字词句的读音、释义及用法,是语言学习和写作的有利工具。

 

Copyright © 2004-2024 vtrois.com All Rights Reserved
更新时间:2026/5/30 23:58:19