短梗南蛇藤
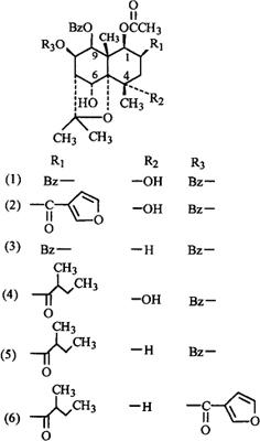
【名称出处】:《中国高等植物图鉴》 【概况】: 异名 白花藤(《新华本草纲要》),大藤菜(《云南中草药选》),山货榔(云南曲靖)。 基源 为卫矛科南蛇藤属植物短梗南蛇藤的树皮及根皮。 原植物 短梗南蛇藤Celastrus rosthornianus Loes. 形态 藤状灌木,高达7m。 小枝有较大而突起的密集皮孔。 单叶互生,叶柄长5~15mm;叶片为长椭圆形或倒卵状披针形,基部狭窄,先端渐尖,长4~11cm,宽3~6cm,边缘具细锯齿。 花雌雄异株,雄花序顶生和腋生,顶生花序长达5cm,花序轴分枝短,腋生花序仅1~3花;雌花序全为腋生,3~7花;花黄绿色,雄花具杯状花盘,雄蕊著生于花盘边缘上;退化雌蕊短柱状;雌花有退化雄蕊,子房与杯状花盘离生,花柱细长,柱头3裂,每裂2叉分枝。蒴果近球状,直径约1cm。 种子3~6粒,有橙红色假种皮。花期6月,果期9~10月。 (图见《中国高等植物图鉴》.第2册.660页.图3049) 生境与分布 生于山间丛林或路旁。分布于陕西、浙江、福建、湖北、湖南、广东、广西、四川、贵州、云南。。【化学】:  根皮中分得6种新的倍半萜烯β-二氢沉香呋喃(β-Dihydroagarofuran)类化合物:即1β-乙酰氧基-2β,8β,9α-三苯甲酰氧基-4α,6α-二羟基-β-二氢沉香呋喃(1)、1β-乙酰氧基-8β,9α-二苯甲酰氧基-2β-(呋喃-β-羰氧基)-4α,6α-二氢基-β-二氢沉香呋喃(2)[1,2]、1β-乙酰氧基-2β,8β,9α-三苯甲酰氧基-6α-羟基-β-二氢沉香呋喃(3)[3,4]、1β-乙酰氧基-8β,9α-二苯甲酰氧基-4α,6α-二羟基-2β-(α-甲基丁酰氧基)-β-二氢沉香呋喃(4)[5]、1β-乙酰氧基-8β,9α-二苯甲酰氧基-6α-羟基-2β-(α-甲基丁酰氧基)-β-二氢沉香呋喃(5)、1β-乙酰氧基-9α-苯甲酰氧基-8β-(β-呋喃羰氧基)-6α-羟基-2β-(α-甲基丁酰氧基)-β-二氢沉香呋喃(6)[6,7]。 参考文献 [1] Phytochemistry 1991;30(4):1321(CA 1991;115:68425r) [2] J Chem Soc Perkin Trans I 1991;(2):425(CA 1991;114:182101m) [3] Chin Chem Lett 1991;2(12):936(CA 1992;117:23268s) [4] Phytochemistry 1992;31(4):1415(CA 1992;117:86725j) [5] Phytochemistry 1992;31(6):2155(CA 1992;117:66661g) [6] Phytochemistry 1991;30(12):4169(CA 1992;116:191019j) [7] J Nat Prod 1992;55(1):126(CA 1992;116:67014g) 【药性】: 功效 清热解毒,祛风除湿,舒筋活血,镇静,镇痛,止血。 主治 ❶ 《广西药用植物名录》:“风湿痹痛,毒蛇咬伤。” ❷ 《新华本草纲要》:“根:筋骨痛,扭伤,胃痛,闭经,月经不调,牙痛,失眠,无名肿毒。根皮:蛇咬伤,肿毒。” 。【临床应用】: 单方应用 《浙江药用植物志》:“治风湿痹痛,毒蛇咬伤,跌打损伤,带状疱疹,湿疹、多发性脓肿:短梗南蛇藤9~15g,水煎服。亦可用短梗南蛇藤根皮磨粉外涂患处。” |