短萼海桐
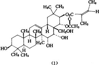
【概况】: 异名 山桂花、木辣椒(《广西药用植物名录》)。 基源 为海桐花科海桐花属植物短萼海桐的叶。 原植物 短萼海桐Pittosporum brevicalyx(Oliv.)Gagn.,又名小朵林、大朵林、万里香(云南)。 形态 乔木或灌木,植株高2~10m,枝近轮生,无毛。单叶聚生,叶柄长1~2.5cm;叶薄革质,无毛,披针形、倒披针形或狭倒卵形,长5~14cm,宽2~5cm,全缘。 花序圆锥状,有短毛,花具香味;萼片5,分生或基部稍合生,长1~3mm,无毛或有短柔毛;花瓣长6~8mm;雄蕊有时与花瓣近等长或稍短;子房密生绢状柔毛。蒴果近球形,稍扁,直径8~10mm,果皮薄,熟时2爿裂。 种子7~10粒,长约2.5mm。(图见《中国高等植物图鉴》.第2册.154页.图2038) 生境与分布 生于山地林中。分布于湖北、湖南、广东、广西、贵州、云南。 。【化学】: 附 树皮中分得5个齐墩果烷型三萜皂甙元,分别为短萼海桐皂甙元(Pittobrevigenin)(1),齐墩果酸(Oleanolic acid)、常春藤皂甙元(Hederagenin)、茶皂甙元D(Theasapogenin D)和玉蕊醇R1(Barrigenol R1)。  参考文献 化学学报 1986;44(9)∶946 【药性】: 功效 全株、茎皮:祛风,消肿,止痛。 主治 ❶ 《新华本草纲要》:“叶:治一切疮毒肿毒。” ❷ 《广西药用植物名录》:“全株、茎皮:用于腰椎肥大,腰痛,小儿惊风。” 用法用量 叶:研末,调敷。 |