网站首页  词典首页


请输入您要查询的字词:

 

字词 硒羰基化合物合成
类别 中英文字词句释义及详细解析
释义 硒羰基化合物合成

硒羰基化合物顾名思义为硒碳双键的衍生物,按有机化学(IUPAC命名法则)来分类为硒酮(selones),硒醛(selenoaldehydes),硒酯(selenoesters),硒代酰胺(selenoamides),硒代羧酸(selenocarboxylic acid),硒代碳酸酯(selenocarbonates),硒脲(selenoureas),硒代氨基脲(selenosemicarbazides),硒代氨基甲酸酯(selenocarbamates),异硒氰酸酯(isoselenocyanates),硒代烯酮(selenoketenes)等。

硒羰基化合物合成研究早于20世纪初,但至今若与硫羰基化合物化学相比仍属凤毛麟角水平。主要原因有二:一是硫羰基化合物合成中广泛应用二硫化碳和五硫化二磷作引入硫的试剂,二硒化碳不但恶臭而且易聚合,五硒化二磷却是极难溶解的物质,均不具备引入硒的试剂能力,而最广泛应用的试剂是硒化氢及其盐类,它是恶臭和极毒化合物,常使研究者望而生畏;二是许多硒羰基化合物极不稳定,在处理时常析出极细的红硒,所以常常在硒羰基化学之前再冠上一个“不稳定”形容词,这是由于硒羰基的2p-4pπ键比硫羰基的2p-3pπ键和羰基2p-2pπ键重叠偏小,从轨道电负性来分析,硒羰基比较接近硫羰基(表1),硒比硫是更大立体块,所以更迅速极化(表2),导致硒羰基化合物稳定性极差,它的化学特性经常出现反常,有时甚至难以预估,尽管如此,近年来还是有了大幅度进展,促进因素是它已显示可贵的生物活性,成为筛选抗肿瘤,抗人体衰老等药物一个重要化学领域,同时如同羰基化合物一样成为合成具有药用价值含硒杂环化合物的重要中间体,它在有机合成化学中已是一种新兴的有价值的定向和立体选择性的化学试剂。

表1 羰基、硫羰基、硒羰基化合物轨道电负性

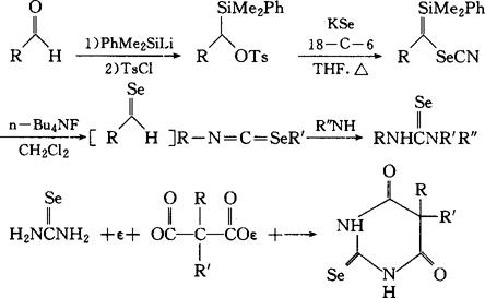
硒插入和挤出反应也是当今有机硒合成化学中一个重要课题,硒羰基化合物在氧化条件下硒常被氧挤出分子,析出红硒,相反在还原条件下却能挤出氧插入硒于分子中,因此硒化氢成为引入硒的重要试剂来合成各种硒羰基化合物,但反常和难以预测结果经常发生,在1915年报导的硒甲醛是红色二聚体,直到1975年才证实是一个非硒羰基化合物(1,3,5环三硒烷),硒酮合成得到的却是二硒醚,这是由于所生成的硒酮被强还原性H2Se还原成不稳定硒醇,在处理时被空气氧化而成,而溴代环丁烯二酮却生成一个共振稳定的硒酮,硒代苯甲酸也同样会发生二聚消去反应得到二酰基硒醚,它与硒代苯甲酸又能进一步反应得到二酰基二硒醚,尽管如此,它还是较成熟硒羰基化合物合成方法。

美国抗癌新药Ebselen,Selenazofurin合成中仍采用。

硒化氢是极毒,恶臭和还原性极强试剂,化学家一直在努力改进硒羰基合成方法,当然首先想到利用硒粉作硒引入试剂。F.S.Guzies等利用位阻性酮经腙化后生成的膦叶立德(phosphoranylidine hydrazone)和硒粉在120℃反应获得硒酮,并良好得率,但机制不清,难度也较大。

最方便制备立体位阻硒酮可用腙,硒粉,溴一起反应来制备,得率一般在65%~80%左右。

Okuma Kentaro利用碱催化下元素硒与膦叶立德进行溶液反应制备硒醛获得成功。

五羰基铬(O)芳基烷氧基卡宾和硒粉反应以低得率提供硒酯。

唯有异腈较易与硒粉反应成为异硒氰酸酯是常规方法之一。

另一硒羰基合成方法是烷基金属的硒化物例(R3Sn)2Se,(R2Al)2Se,(R3Si)2Se作为引入硒的试剂。

最后一个合成方法是通过硒氰酸酯,异硒氰酸酯和硒脲等加成反应可衍生较高级硒羰基化合物。

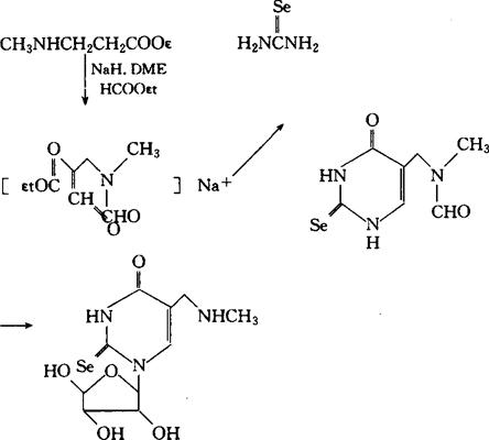
美国在仿生合成富硒酵母中天然存在的5-甲基氨基甲基2-硒脲嘧核苷就是通过硒脲加成环化反应来得到的。

硒有机化学在“硒,从痕量元素到药物”研究中将有一个新的飞跃,硒羰基化合物合成化学研究也将成熟到工业生产的水准,为硒有机化合物药学研究奠定坚硕的基础。

【参考文献】:

1 Silverman R B, et al. Chemistry and Biology, 1973, 245 ~304

2 Wittwer A J, et al. Biochemistry, 1984,23:4650

3 Hennen W J, et al. JOrgChem, 1985,50:1741

4 Guziec F S. Organoselenium Chemistry, Liotta. D, Eds.

5 NY:John Wiley , Sons,1987,277~324

6 Pauimier C. Selenium Reagents and Intermediates in Organic Synthesis. N Y:Pergamonpress, 1987,3

7 Kentaro O. Chem Lett, 1988,7:1145Renji O. Recent advances in selenoaldehyde chemistry. Yuki Gosei Kagaku Kyokaishi, 1988,46:1149~1163

8 Masahito S.化学と工业,东京,1991,44∶230

(中国科学院上海有机化学研究所徐思羽副研究员撰;丁宏勋审)

随便看

 

离鸟网收录3541549条中英文词条,其功能与新华字典、现代汉语词典、牛津高阶英汉词典等各类中英文词典类似,基本涵盖了全部常用中英文字词句的读音、释义及用法,是语言学习和写作的有利工具。

 

Copyright © 2004-2024 vtrois.com All Rights Reserved
更新时间:2026/4/7 0:12:33