网站首页  词典首页


请输入您要查询的字词:

 

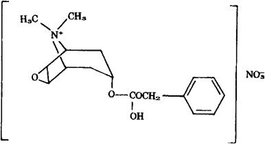
字词 硝甲东莨菪碱
类别 中英文字词句释义及详细解析
释义 硝甲东莨菪碱

C18H24N2O7=380.40

CAS-6106-46-3

(-)(1S,3S,5R,6R,7S)-6,7-环氧-8-甲基-3-[(S)-托品酰氧]托品烷硝酸盐。

(-)(1S,3S,5R,6R,7S)-6,7-Epoxy-8-methyl-3-[(S)-tropoyloxy]tropanium nitrate.

抗胆碱药。用于治疗胃及十二指肠溃疡,缓解内脏痉挛。

Hyosine Methylnitrate,Scopolamine Methylnitrate,Methscopolamine Nitrate,Skopal,Skopyl.

DCIT,NFN.

随便看

 

离鸟网收录3541549条中英文词条,其功能与新华字典、现代汉语词典、牛津高阶英汉词典等各类中英文词典类似,基本涵盖了全部常用中英文字词句的读音、释义及用法,是语言学习和写作的有利工具。

 

Copyright © 2004-2024 vtrois.com All Rights Reserved
更新时间:2026/4/7 1:22:09