网站首页  词典首页


请输入您要查询的字词:

 

字词 硝甲酚汞
类别 中英文字词句释义及详细解析
释义 硝甲酚汞

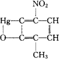
C7H5HgNO3=351.71

CAS-133-58-4

5-甲基-2-硝基-7-氧杂-8-汞双环[4.2.0]辛-1,3,5-三烯。

5-Methyl-2-nitro-7-oxa-8-mercurabicyclo[4.2.0]octa-1,3,5-triene.

2-甲基-5-硝基(苯)酚盐(2-)-C6,O1汞。

2-Methyl-5-nitrophenolate(2-)-C6,O1mercury.

消毒防腐药。

硝甲苯汞,米他芬。

Nitromersol,Metaphen.

USAN,USP.

随便看

 

离鸟网收录3541549条中英文词条,其功能与新华字典、现代汉语词典、牛津高阶英汉词典等各类中英文词典类似,基本涵盖了全部常用中英文字词句的读音、释义及用法,是语言学习和写作的有利工具。

 

Copyright © 2004-2024 vtrois.com All Rights Reserved
更新时间:2026/4/7 18:33:27