网站首页  词典首页


请输入您要查询的字词:

 

字词 硫化氢的测定计算
类别 中英文字词句释义及详细解析
释义 硫化氢的测定计算

[说明]此法适用于硫化物浓度超过1mg/L的水样。

[测定方法]❶ 按图3-6-2装好二氧化碳发生器(1),在气体洗瓶(2)中装适量水,水样瓶(3)及吸收瓶(4)和(5)中,暂不加水样和醋酸锌吸收液。
❷ 用橡皮管将(1)、(2)、(3)、(4)、和(5)连接,然后打开气体发生器活塞,通入二氧化碳,驱出系统内空气。
❸ 在吸收瓶(4)和(5)中各加5mL醋酸锌[称出22.0g化学纯Zn(CH3COOH)2·2H2O用水稀至100mL]及95mL蒸馏水。
❹ 在水样瓶中,加入200mL水样,加入10mL浓盐酸使水样呈显著酸性,迅速将瓶塞盖紧,并把全套装置连接好。
❺ 迅速在水浴锅上加热至沸,并打开气体发生器活塞,以每分钟100~150个CO2气泡通入约2h。
❻ 从水样瓶和吸收瓶中间将连接管拿开,醋酸铅试纸用水润湿后放

在水样瓶出口处,如试纸不变黄,表示硫化氢已经完全赶出,如试纸变色,还需继续通入CO2,直至硫化氢完全赶出为止。
❼ 取下吸收瓶(4)和(5),将吸收液倾入碘量瓶中,将吸收瓶用少量水分别多次洗涤合并于碘量瓶中。
❽ 同时另取碘量瓶,加入1mL醋酸锌及190mL蒸馏水作空白试验。
❾ 向样品瓶和空白瓶各加入10mL0.005mo1/L碘液(略过量)。L加入5mL浓盐酸,盖好瓶塞,混合后在暗处放置5min钟。⑾用0.01mol/L硫代硫酸钠标准溶液滴定至淡黄色时,加1mL淀粉溶液,继续滴定至蓝色消失为止。

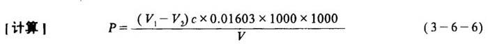
式中 P——硫化氢含量(以S计)(mg/L)

c——硫代硫酸钠标准溶液浓度(mol/L)

V1、V2——分别为滴定空白试验及水样所消耗的硫代硫酸钠标准溶液的体积(mL)

V——水样体积(mL)

随便看

 

离鸟网收录3541549条中英文词条,其功能与新华字典、现代汉语词典、牛津高阶英汉词典等各类中英文词典类似,基本涵盖了全部常用中英文字词句的读音、释义及用法,是语言学习和写作的有利工具。

 

Copyright © 2004-2024 vtrois.com All Rights Reserved
更新时间:2026/4/6 18:48:06