网站首页  词典首页


请输入您要查询的字词:

 

字词 硫唑嘌呤[中]
类别 中英文字词句释义及详细解析
释义 硫唑嘌呤[中]

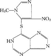
C9H7N7O2S=272.26

CAS-446-86-6

6-[(1-甲基-4-硝基咪唑-5-基)硫]嘌呤。

6-[(1-Methyl-4-nitroimidazol-5-yl)thio]-purine.

免疫抑制药和抗肿瘤药。用于急性、慢性白血病,自身免疫性疾病。

依木兰,硫代嘌呤咪唑。

Azathioprine,Azothioprine,Imuran,Imurel.

硫唑嘌呤片。

BAN,BP,DCF,INN,JAN,NFN,USAN,USP,MI.

随便看

 

离鸟网收录3541549条中英文词条,其功能与新华字典、现代汉语词典、牛津高阶英汉词典等各类中英文词典类似,基本涵盖了全部常用中英文字词句的读音、释义及用法,是语言学习和写作的有利工具。

 

Copyright © 2004-2024 vtrois.com All Rights Reserved
更新时间:2026/5/26 21:27:12