网站首页  词典首页


请输入您要查询的字词:

 

字词 硫戊比妥
类别 中英文字词句释义及详细解析
释义 硫戊比妥

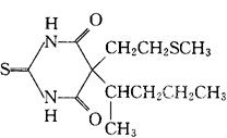
C12H20N2O2S2=288.42

CAS-467-43-6

5-(1-甲丁基)-5-[2-(甲硫基)乙基]-2-硫代巴比土酸。

5-(1-Methylbutyl)-5-[2-(methylthio)ethyl]-2-thiobarbituric acid.

催眠镇静药。

美西妥拉。

Methitural.

INN,NFN,USAN.

随便看

 

离鸟网收录3541549条中英文词条,其功能与新华字典、现代汉语词典、牛津高阶英汉词典等各类中英文词典类似,基本涵盖了全部常用中英文字词句的读音、释义及用法,是语言学习和写作的有利工具。

 

Copyright © 2004-2024 vtrois.com All Rights Reserved
更新时间:2026/5/25 21:06:59