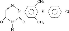
硫珠立尔
C17H14ClN3O2S=359.83 CAS-35319-70-1 2-[4-(1-氯苯基)硫代]-3,5-二甲苯基1,2,4-三嗪-3,5(2H,4H)-二酮。 1,2,4-Triazine-3,5(2H,4H)-dione,2-[4-(1-chlorophenyl)thio]-3,5-dimethylphenyl-. 2-[4-[(对-氯苯基)硫代]-3,5-二甲苯-偏-三嗪-3,5-(2H,4H)-二酮。 2-[4-[(p-Chlorophenyl)thio]-3,5-xylyl-as-triazine3,5-(2H,4H)-dione. 抗球虫病药(家禽)。 嗪硫索利。 Tiazuril,CP-25,673. INN,USAN. 
|