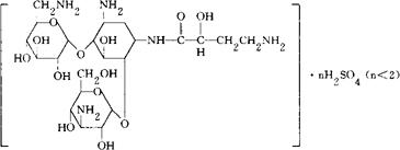
硫酸丁胺卡那霉素[典]
C22H43N5O13·2H2SO4=781.75 CAS-39831-55-5 1-N-[L(-)-γ-氨基-α-羟基丁酰基]卡那霉素A的硫酸盐。 l-N-[L-(-)-γ-Amino-α-hydroxybutyryl]kanamycin A sulfate. 抗生素类药。为氨基糖苷类广谱抗生素。用于葡萄球菌、肺炎球菌、变形杆菌、绿脓杆菌及大肠杆菌等的感染,亦可用于对卡那霉素和庆大霉素耐药的革兰氏阴性菌的感染。 硫酸阿米卡星。 Amihacin Sulfate, Amilin,BB-K8. 注射用硫酸丁胺卡那霉素(注射用硫酸阿米卡星)。 USAN,SUP,MI.  |