网站首页  词典首页


请输入您要查询的字词:

 

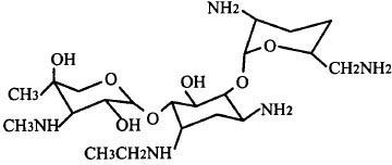
字词 硫酸依替米星
类别 中英文字词句释义及详细解析
释义 硫酸依替米星

【别名】:爱大霉素

【化学名称】O-2-氨基2,3,4,6-四脱氧-6-(氨基)-α-D-赤型-己吡喃糖基-(1→4)-O-[3-脱氧-4-C-甲基-3-(甲氨基)-β-L-阿拉伯吡喃糖基-(1→6)]-2-脱氧-N-乙基-L-链霉胺·2.5硫酸盐

【化学结构】

【药理作用】本品为一种新的半合成水溶性抗生素,属氨基糖苷类,其作用机制是抑制敏感菌正常的蛋白质合成。本品为广谱抗生素,对大部分G+及G-菌有良好抗菌作用,尤其对大肠杆菌、克雷伯肺炎杆菌、沙雷菌属、奇异变形杆菌、沙门菌属、嗜血流感杆菌及葡萄菌属等有较高的抗菌活性,对部分绿脓杆菌、不动杆菌属等具有一定抗菌活性,对部分庆大霉素、小诺霉素和头孢唑啉耐药的金葡菌、大肠杆菌和克雷白肺炎杆菌,其体外 MIC值仍在本品治疗剂量的血药浓度范围内。对产生青霉素酶的部分葡萄球菌和部分对甲氧西林耐药的葡萄球菌(MRSA)亦有一定抗菌活性。

【药代动力学】健康成人一次静滴100,150,300 mg本品时,Cmax分别为 11.30,14.60,19.79 mg/L,AUC 为 21.86,28.55,38.03 mg·h/L。血清浓度消除的t1/2约为1.5h。24h内原形药物在尿中的排泄量约为80% 左右。对健康成人150 mg连续给药,bid,Cmax=(19.60±2.38) mg/L,AUC=(37.69±6.28) mg·h/L,t1/2β=(1.84±1.49)h。7d的给药周期内血药浓度基本稳定,没有明显的积累作用。本品与血清蛋白的结合率为25% 左右。

【适应证】适用于敏感菌所致各种感染,如呼吸道感染包括急性支气管炎、慢性支气管炎急性发作、肺部感染等。肾脏和泌尿生殖系统感染包括急性肾盂肾炎、膀胱炎或慢性膀胱炎急性发作等。皮肤软组织感染包括疖、痈、急性蜂窝组织炎等。创伤、手术前后感染治疗或预防性用药。

【剂量与用法】静脉滴注。成人推荐剂量:对于肾功能正常泌尿系统感染或全身性感染的患者,bid,0.1~0.15 g/次,稀释于100ml的灭菌生理盐水或5% 葡萄糖注射液中,静滴,滴注1h。一般疗程5~10d,或200~300 mg溶于5% 葡萄糖注射液或灭菌生理盐水100ml中静滴1h,qd。疗程5~10d,病情严重或败血症者可适当延长疗程,必要时可与β-内酰胺类或其他抗生素联合应用。对于肾功能不良者,原则上不用,必要时应调整剂量,并应监测血清中本品的浓度。

【临床评价】本品为我国自行研制开发的新一代半合成氨基糖苷类抗生素。在中华医学会统一组织下,全国97家大型医院2212例Ⅲ期临床多中心试验结果表明,本品对大部分G+及G-菌均有良好抑菌、杀菌作用,半数以上临床致病菌MIC≤1 mg/L。对半数以上各类抗生素耐药菌仍有较强的抗菌活性。本品抑制66% MRSA,MIC50为0.5~8 mg/L。本品与青霉素、半合成青霉素类、头孢菌素类等多种药物联合使用具有强大的协同作用。本品具有明显的后效应作用(PAE),持续时间长达12~24h。本品Ⅲ期临床总有效率达91.8% ,细菌清除率达91.7% ,总不良反应仅为4.33% 。

【不良反应】本品不良反应为耳、肾的毒副作用,发生率和严重程度与奈替米星相似。个别病例可见BUN、Cr或ALT、AST、ALP等肝、肾功能指标轻度升高,但停药后即恢复正常。药理和临床研究均显示,本品的耳毒性和前庭毒性均较轻。主要发生于肾功能不全的病人,剂量过大或过量的病人,表现为眩晕、耳鸣等。个别病人电测听力下降,程度均较轻。

【注意事项】
❶ 对本品及其他氨基糖苷类抗生素过敏者禁用。
❷ 在用本品治疗过程中仍应密切观察肾功能和第八对颅神经功能的变化,尤其是已明确或怀疑有肾功能减退者、大面积烧伤者、老年病人或脱水病人。
❸ 本品应避免与其他具有潜在耳、肾脏毒性如多粘菌素、其他氨基糖苷类等抗生素、强利尿剂如呋塞米(速尿)等联合使用,以免增加肾毒性和耳毒性。
❹ 可能发生神经肌肉阻断现象,因此对接受麻醉剂、琥珀胆碱、筒箭毒碱或大量输入含枸橼酸抗凝剂的血液病人应特别注意,一旦出现神经肌肉阻滞现象应停用本品,静脉内给予钙盐进行治疗。

【制剂规格】粉针剂:每瓶含本品50 mg(5万单位)或100 mg(10万单位)。

【生产厂家】中国杭州利民药厂。

随便看

 

离鸟网收录3541549条中英文词条,其功能与新华字典、现代汉语词典、牛津高阶英汉词典等各类中英文词典类似,基本涵盖了全部常用中英文字词句的读音、释义及用法,是语言学习和写作的有利工具。

 

Copyright © 2004-2024 vtrois.com All Rights Reserved
更新时间:2026/5/25 14:03:45