硫酸倍他米星
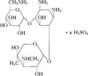
C19H38N4O10·xH2SO4=482.53 CAS-43169-50-2 CAS-36889-15-3(betamicin) O-6-氨基-6-脱氧-α-D-吡喃葡糖基-(1→4)-O-[3-脱氧-4-C-甲基-3-(甲氨基)-β-L-阿拉伯吡喃基-(1→6)-2-脱氧-]D-链霉胺硫酸盐。 O-6-Amino-6-deoxy-α-D-glucopyranosyl-(1→4)-O[3-deoxy-4-C-methyl-3-(methylamino)-β-L-arabinopyranosyl-(1→6)2-deoxy]D-streptamine sulfate. 抗菌药。 Betamicin Sulfate,Sch-14342. INN(Betamicin),USAN.  |