硫酸内体霉素
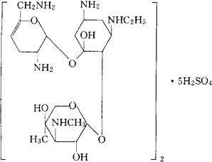
(C21H41N5O7)2·5H2SO4=1441.54 CAS-56391-57-2 O-3-脱氧-4-C-甲基-3-(甲氨基)-β-L-阿拉伯吡喃糖基(1→4)O[2,6二氨基-2,3,4,6四脱氧α-D甘油基-己-4-烯吡喃糖基-(1→6)]-2脱氧-N3-乙基-L链霉胺硫酸盐(2∶5)。 O-3-Deoxy-4-C-methyl-3-(methylamino)-β-L-arabinopyranosyl-(1→4)-O-[2,6-diamino-2,3,4,6-tetradeoxy-α-D-glycero-hex-4-enopyranosyl-(1→6)]-2-deoxy-N3-ethyl-L-streptamine sulfate(2∶5)(salt). 抗生素类药。 硫酸奈替米星,硫酸乙基西梭霉素。 Netilmicin Sulfate,Netroycin,Sch 20569. USAN,USP.MI. 
|