硫酸博来霉素
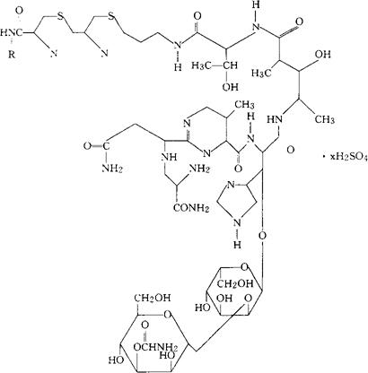
CAS-9041-93-4 CAS-11056-06-7(bleomycin) 是从Streptomyces verticillus菌株分离而得的糖肽类抗生素的混合物,转化成硫酸盐。 A mixture of glycopeptide antibiotics isolated from a strain of Streptomyces verticillus and converted into sulfates. 博来霉素硫酸盐。 Bleomycin sufate(salt). 抗生素类药,抗癌药。 Bleomycin Sulfate,Blenoxane. INN &BAN(Bleomycin),USAN,USP.  (Main componcntBleomycin A2,in which Ris(CH3)2S+CH2CH2CH2-) |