网站首页  词典首页


请输入您要查询的字词:

 

字词 硫酸卷曲霉素[中]
类别 中英文字词句释义及详细解析
释义 硫酸卷曲霉素[中]

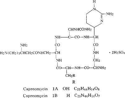
C25H44N14O8·2H2SO4=864.85

CAS-1405-37-4

为一种链球菌(Streptomyces capreolus)的培养基中提出的多肽。

抗结核和革兰氏阴性杆菌的感染。

卷曲霉素硫酸盐,硫酸卷须霉素,缠霉素。

Capreomycin Sulfate,Capreomycin Sulphate,Caprocin.

注射用硫酸卷曲霉素(注射用卷须霉素)。

BP,USAN,USP.

随便看

 

离鸟网收录3541549条中英文词条,其功能与新华字典、现代汉语词典、牛津高阶英汉词典等各类中英文词典类似,基本涵盖了全部常用中英文字词句的读音、释义及用法,是语言学习和写作的有利工具。

 

Copyright © 2004-2024 vtrois.com All Rights Reserved
更新时间:2026/4/7 5:10:19