网站首页  词典首页


请输入您要查询的字词:

 

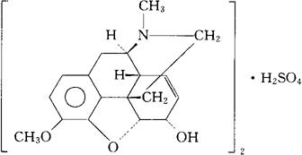
字词 硫酸可待因
类别 中英文字词句释义及详细解析
释义 硫酸可待因

(C18H21NO3)2·H2SO4·3H2O=750.86

CAS-6854-40-6

CAS-1420-53-7

CAS-6059-47-8(codeine)

7,8-二脱氢-4,5α-环氧-3-甲氧-17-甲基吗啡喃-6α-醇硫酸盐(2∶1)三水化合物。

7,8-Didehydro-4,5α-epoxy-3-methoxy-17-methylmorphinan-6α-ol sulfate(2∶1)(salt)trihydrate.

镇痛药,镇咳药。用于无痰干咳及剧烈频繁的咳嗽。

Codeine Sulfate.

USAN,USP.

随便看

 

离鸟网收录3541549条中英文词条,其功能与新华字典、现代汉语词典、牛津高阶英汉词典等各类中英文词典类似,基本涵盖了全部常用中英文字词句的读音、释义及用法,是语言学习和写作的有利工具。

 

Copyright © 2004-2024 vtrois.com All Rights Reserved
更新时间:2026/5/25 9:07:15