网站首页  词典首页


请输入您要查询的字词:

 

字词 硫酸头孢匹罗
类别 中英文字词句释义及详细解析
释义 硫酸头孢匹罗

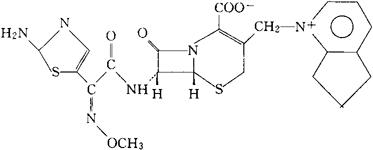
C22H22N6O5S2·H2SO4=612.65

CAS-98753-19-6

CAS-84957-29-9(cefpirome)

[6R-[6α,7β(Z)]]-1-[[7-[[(2-氨基-4-噻唑基)(甲氧亚氨基)乙酰]氨基]-2-羧-8-氧代-5-硫杂-1-氮杂双环[4.2.0]辛-2-烯-3-基]甲基]-6,7-二氢-5H-1-鎓氢氧化物,内盐,硫酸盐(1∶1)。

1-[[7-[[(2-Amino-4-thiazolyl)(methoxyimino)acetyl]amino]-2-carboxy-8-oxo-5-thia-1-azabicyclo[4.2.0]oct-2-en-3-yl]methyl]-6,7-dihydro-5H-1-pyrindinium,hydroxide,inner salt,[6R-[6α,7β(Z)]]-.sulfate(1∶1).

1-[[(6R,7R)-7-[2-(2-氨基-4-噻唑基)乙醛酰胺基]-2-羧-8-氧代-5-硫杂-1-氮杂双环[4.2.0]辛-2-烯-3-基]甲基]-6,7-二氢-5H-1-吡啶鎓氢氧化物,内盐,72(Z)-(O-甲肟)硫酸盐(1∶1)。

1-[[(6R,7R)-7-[2-(2-Amino-4-thiazolyl)glyoxylamido]-2-carboxy-8-oxo-thia-1-azabicyclo[4.2.0]oct-2-en-3-yl]methyl]-6,7-dihydro-5H-1-pyrindinium hydroxide,inner salt,72-(Z)(O-methyloxime),sulfate(1∶1).

抗生素类药。

硫酸头孢唑隆。

Cefpirome Sulfate,HR 810 Sulfate.

INN(Cefpirome),USAN.

随便看

 

离鸟网收录3541549条中英文词条,其功能与新华字典、现代汉语词典、牛津高阶英汉词典等各类中英文词典类似,基本涵盖了全部常用中英文字词句的读音、释义及用法,是语言学习和写作的有利工具。

 

Copyright © 2004-2024 vtrois.com All Rights Reserved
更新时间:2026/4/7 14:12:43