网站首页  词典首页


请输入您要查询的字词:

 

字词 硫酸巴龙霉素[典]
类别 中英文字词句释义及详细解析
释义 硫酸巴龙霉素[典]

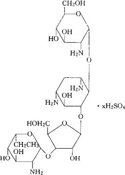
C23H45N5O14·xH2SO4=615.63(base)

CAS-1263-89-4

O-2,6-二氨基-2,6-二脱氧-β-L-艾杜吡喃糖基-(1→3)-O-β-D-呋喃核糖基-(1→5)-O-[2-氨基-2-脱氧-α-D-吡喃葡萄糖基-(1→4)]-2-脱氧链霉胺硫酸盐。

O-2,6-Diamino-2,6-dideoxy-β-L-idopyranosyl-(1→3)-O-β-D-ribofuranosyl-(1→5)O-[2-amino-2-deoxy-α-D-glucopyranosyl-(1→4)]-2-deoxy-streptamine sulfate(salt).

抗生素类药。用于细菌性痢疾及阿米巴肠病。

Paromomycin Sulfate,Estomycin,Gabbromycin.

硫酸巴龙霉素片。

IP,USAN,USP,MI.

随便看

 

离鸟网收录3541549条中英文词条,其功能与新华字典、现代汉语词典、牛津高阶英汉词典等各类中英文词典类似,基本涵盖了全部常用中英文字词句的读音、释义及用法,是语言学习和写作的有利工具。

 

Copyright © 2004-2024 vtrois.com All Rights Reserved
更新时间:2026/4/10 7:12:04