硫酸庆大霉素[典]
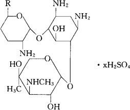
CAS-1405-41-0 O-3-去氧-4-甲基-3-甲氨基-β-L阿拉伯吡喃糖基-(1→6)-O-[2,6-二氨基-2,3,4,6四去氧-α-D-赤吡喃己糖基-(1→4)]-2-去氧-D-链霉胺的硫酸盐。 O-3-Deoxy-4-methyl-3-methylamino-β-L-arabinopyranosyl-(1→6)-O-[2,6-diamino-2,3,4,6-tetradeoxyα-D-erythro-hexopyranosyl-(1→4)]2-deoxy-Dstreptamine sulfate. 抗生素类药。为氨基糖甙类广谱抗生素,主要用于葡萄球菌、绿脓杆菌、大肠杆菌、痢疾杆菌、克雷白肺炎杆菌、变形杆菌等感染。 硫酸正泰霉素,硫酸紫菌素(台)。 Gentamycin Sulfate,Gentamicin Sulfate,Bristagen,Garamycin. 硫酸庆大霉素片,硫酸庆大霉素软膏,硫酸庆大霉注射液。 BP,USAN,USP,MI.   |