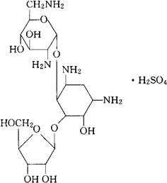
硫酸核糖霉素[中]
C17H34N4O10·H2SO4=552.52 CAS-25546-65-0(ribostamycin) O-2,6-二氨基-2,6-二脱氧-α-D-吡喃葡萄糖基-(1→4)-O[β-D-呋喃核糖基-(1→5)]-2-脱氧-D-链霉胺硫酸盐(1∶1)。 O-2,6-Diamino-2,6-dideoxy-α-D-glucopyranosyl-(1→4)-O-[β-D-ribofuranosyl-(1→5)]-2-deoxy-Dstreptamine sulfate(1∶1)(salt). 抗生素类药。用于金黄色葡萄球菌、链球菌、肺炎球菌、大肠杆菌、痢疾等引起的感染。 硫酸核糖斯太霉素,硫酸维生霉素,威他霉素硫酸盐。 Ribostamin Sulfate,Ribostamycin Sulfate,Vistamycin Sulfate,Landamycin,Ribomycinl. 硫酸核糖霉素注射液。 INN,JP,MI. 
|