网站首页  词典首页


请输入您要查询的字词:

 

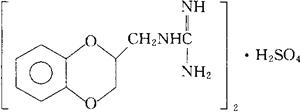
字词 硫酸胍生
类别 中英文字词句释义及详细解析
释义 硫酸胍生

(C10H13N3O2)2·H2SO4=512.54

CAS-5714-04-5

(1,4苯并二噁烷-2-甲基)胍硫酸盐(2∶1)

(1,4-Benzodioxan-2-methyl)guanidine sulfate(2∶1).

降血压药。

用于高血压症。

Guanoxan Sulfate,Envacar,Envanocax,Guanutil 3-01003.

硫酸胍生片。

INN(Guanoxan),USAN,MI.

随便看

 

离鸟网收录3541549条中英文词条,其功能与新华字典、现代汉语词典、牛津高阶英汉词典等各类中英文词典类似,基本涵盖了全部常用中英文字词句的读音、释义及用法,是语言学习和写作的有利工具。

 

Copyright © 2004-2024 vtrois.com All Rights Reserved
更新时间:2026/5/31 23:17:09