网站首页  词典首页


请输入您要查询的字词:

 

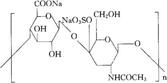
字词 硫酸软骨素A钠
类别 中英文字词句释义及详细解析
释义 硫酸软骨素A钠

(C14H19NNa2O14S)n=5,000~50,000

软骨素的4-硫酸二钠盐。

Chondroitin 4-sulfate disodium salt.

用于治疗动脉粥样硬化、心绞痛、高血脂症等。

So diurn Chondroitin A Sulfate,CAS-Na.

硫酸软骨素A钠胶囊,注射用硫酸软骨素A钠,硫酸软骨素A钠注射液。

MI.

随便看

 

离鸟网收录3541549条中英文词条,其功能与新华字典、现代汉语词典、牛津高阶英汉词典等各类中英文词典类似,基本涵盖了全部常用中英文字词句的读音、释义及用法,是语言学习和写作的有利工具。

 

Copyright © 2004-2024 vtrois.com All Rights Reserved
更新时间:2026/5/25 19:00:19