硫酸链霉素[典]
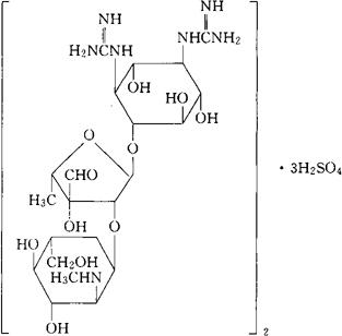
(C21H39N7O12)2·3H2SO4=1457.36 CAS-3810-74-0 O-2-脱氧-2-(甲氨基)-α-L-吡喃葡糖基-(1→2)-O-5-脱氧-3-C-甲酰-α-L-来苏呋喃糖基-(1→4)-N1,N3-二脒基-D-链霉胺硫酸盐(2∶3)。 O-2-Deoxy-2-(methylamino)-α-L-glucopyranosyl-(1→2)-O-5-deoxy-3-C-formyl-α-L-lyxofuranosyl-(1→4)-N1,N3-diamidino-D-streptamin sulfate.(2∶3). 抗生素类药。用于结核、抗菌感染,也可用于布氏杆菌病、鼠疫等。 硫酸链丝菌素(台)。 Streptomycin Sulfate,Streptaquine,Strysolin. 硫酸链霉素片,注射用硫酸链霉素,硫酸链霉素注射液。 BP,USAN,USP.  |