网站首页  词典首页


请输入您要查询的字词:

 

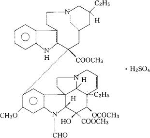
字词 硫酸长春匹定
类别 中英文字词句释义及详细解析
释义 硫酸长春匹定

C46H56N4O9·H2SO4=907.06

CAS-83200-17-7

(4′α)-4′-脱氧-22-氧代长春碱硫酸盐(1∶1)。

(4′α)-4′-Deoxy-22-oxovincaleukoblastine sulfate(1∶1).

(4′s)-4′-去氧长春新碱硫酸盐(1∶1)。

(4′s)-4′-Deoxyleurocristine sulfate(1∶1).

抗肿瘤药。

Vinepidine Sulfate,Ly 119863.

USAN.

随便看

 

离鸟网收录3541549条中英文词条,其功能与新华字典、现代汉语词典、牛津高阶英汉词典等各类中英文词典类似,基本涵盖了全部常用中英文字词句的读音、释义及用法,是语言学习和写作的有利工具。

 

Copyright © 2004-2024 vtrois.com All Rights Reserved
更新时间:2026/5/31 10:52:48