网站首页  词典首页


请输入您要查询的字词:

 

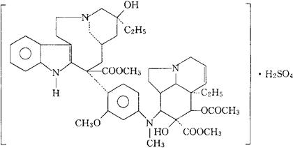
字词 硫酸长春碱[典]
类别 中英文字词句释义及详细解析
释义 硫酸长春碱[典]

C46H58N4O9·H2SO4=909.06

CAS-143-67-9

长春碱硫酸盐(1∶1)。

Vincaleukoblastine sulfate(1∶1)(salt).

抗肿瘤药。用于恶性淋巴瘤及绒毛膜上皮癌,也用于急性白血病、乳腺癌、肺癌等。

硫酸长春花碱(台)。

Vinblastine Sulfate,Vinblastinum Sulfas(台),

Velban,VLB.NSC-49842,LE29060.

注射用硫酸长春碱。

BP,USAN,USP,MI.

随便看

 

离鸟网收录3541549条中英文词条,其功能与新华字典、现代汉语词典、牛津高阶英汉词典等各类中英文词典类似,基本涵盖了全部常用中英文字词句的读音、释义及用法,是语言学习和写作的有利工具。

 

Copyright © 2004-2024 vtrois.com All Rights Reserved
更新时间:2026/5/25 8:51:46